• Предмет: Математика
  • Автор: Ssssladkoo
  • Вопрос задан 2 года назад

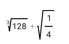
помогите решить срочно​

Приложения:

Ответы

Ответ дал: NataMon
0

Ответ:

4∛2 + 1/2

Пошаговое объяснение:

∛128 + √1/4 = ∛64*2 + 1/2 = 4∛2 + 1/2

Вас заинтересует