• Предмет: Алгебра
  • Автор: kgb507
  • Вопрос задан 2 года назад

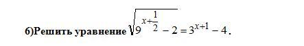
Очень прошу, решите подробно

Приложения:

Ответы

Ответ дал: m11m
2

Ответ:

Объяснение:

!!!!!!!!!!!!!!!!!!!!!!!!!!

Приложения:
Вас заинтересует