Ответы
Ответ дал:
0
Ответ:
x€[-1/4;1)U[2;+ထ)
Объяснение:
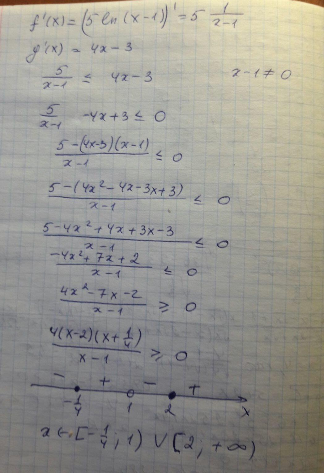
решим соответствующее числитель квадратное уравнение:
получаем неравенство:
с помощью метода интервалов решаем неравенство для точек -1/4; 1; 2, учитывая, что x не может равняться 1, получаем:
x€[-1/4;1)U[2;+ထ)
Ответ дал:
0
Відповідь:
Пояснення:
Приложения:

Вас заинтересует
1 год назад
1 год назад
1 год назад
1 год назад
3 года назад
3 года назад
8 лет назад
8 лет назад