• Предмет: Алгебра
  • Автор: Аноним
  • Вопрос задан 2 года назад

ПОЖАЛУЙСТА ПОМОГИТЕ!

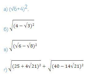
Спростити вирази

Приложения:

Nelia2019: завдання немає
Аноним: Перезавантаж сторінку
Nelia2019: ок

Ответы

Ответ дал: Nelia2019
1

Вираз з коренем і степенем залишаємо тільки вираз

Приложения:
Вас заинтересует