• Предмет: Математика
  • Автор: sdffghhhhhhggg355
  • Вопрос задан 2 года назад

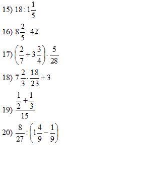
Решите срочно! ПОДРОБНО С РЕШЕНИЯМИ!

Приложения:

Ответы

Ответ дал: negorav
1

Ответ:

15. 1 1/5=6/5

18: 6/5 =15/1=15

16. 8 2/5=42/5

42/5:42=5/1=5

Вас заинтересует