• Предмет: Алгебра
  • Автор: altos2tor
  • Вопрос задан 2 года назад

решите пожалуйста дам 25 баллов​

Приложения:

Ответы

Ответ дал: Pukiein55
0

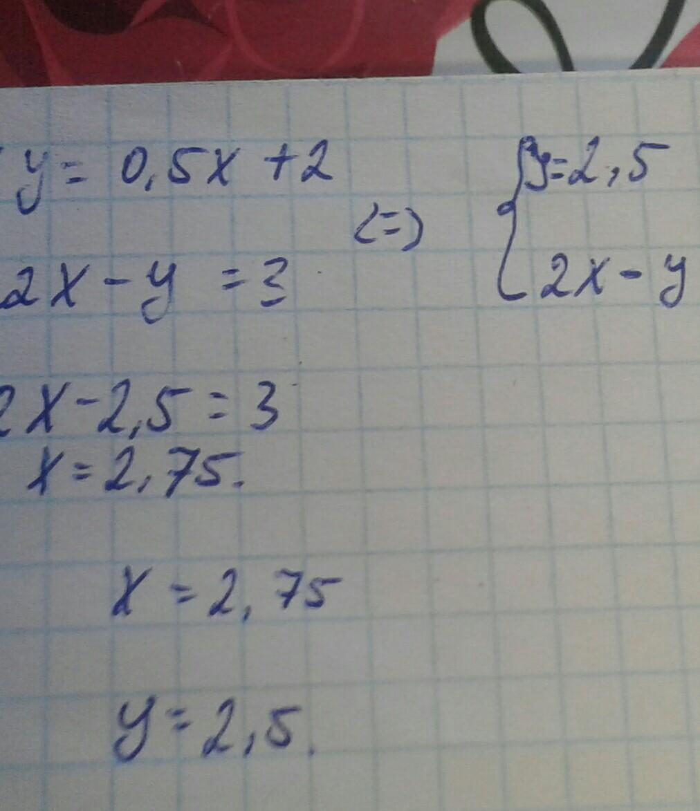
Ответ:

Решение на фото

x=2,75

y=2,5

Приложения:
Вас заинтересует