• Предмет: Алгебра
  • Автор: Kajoshii
  • Вопрос задан 2 года назад

Задание: Решить систему уравнений

Приложения:

Ответы

Ответ дал: Аноним
1

Ответ:

Объяснение:

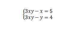
Система уравнений:

3xy-x=5

3xy-y=4

3xy-x-3xy+y=5-4

y-x=1; x=y-1

3y(y-1)-y=4

3y²-3y-y=4

3y²-4y-4=0; D=16+48=64

y₁=(4-8)/6=-4/6=-2/3; x₁=-4/6-1=-1 4/6

y₂=(4+8)/6=12/6=2; x₂=2-1=1

Ответ: (-1 4/6; -2/3) и (1; 2).

Вас заинтересует