• Предмет: Алгебра
  • Автор: alesya4221
  • Вопрос задан 2 года назад

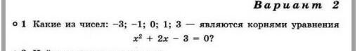
какие из чисел : -3; -1; 0; 1; 3; являются корнями уравнения

Приложения:

Ответы

Ответ дал: lymarv65
1

Ответ:

-3,1

Объяснение:

Метод подбора.

9-6-3=0

0=0- подходит.

-1:

1-2-3=-4

-4=0- нет

0:

0+0-3=-3

-3=0-нет

1:

1+2-3=0

0=0- наш выбор

3:

9+6-3=12

12=0-нет

Ответ дал: DimaTru
0

Ответ:

x^{2} +2x-3=0\\

По дискриминанту находим

D=b^{2} -4ac=2^{2} -4*1*(-3)=4+12=16=4^{2} \\

Находим корни

x_{1} =\frac{-2+4}{2} =1\\x_{2} =\frac{-2-4}{2} =-3

Значит, корни этого урав-ия 1 и -3

Объяснение:

Вас заинтересует