Ответы
Ответ дал:
1
Ответ:
- вот
Пошаговое объяснение:
готово
Приложения:

timahasanov8:
спасибо!!!
Ответ дал:
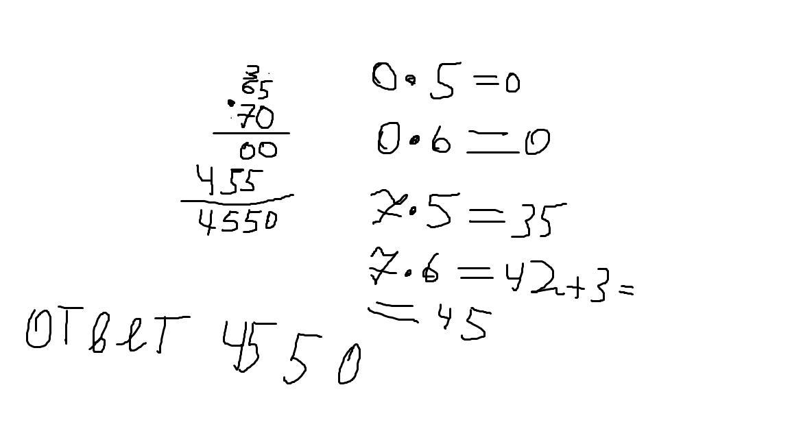
1
65
×
70
=====
455
+
0
=========
4550
Четыре тысячи пятьсот пятьдесят.
Вас заинтересует
1 год назад
1 год назад
1 год назад
1 год назад
3 года назад
3 года назад
8 лет назад