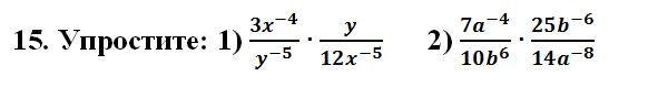
ПОМОГИТЕ РЕШИТЬ УМОЛЯЮ ОЧЕНЬ СРОЧНО !1!!1! ЛЮБОЙ ИЗ ЭТИХ НОМЕРОВ ПОЖАЛУЙСТА . ТРЕТИЙ ЖЕЛАТЕЛЬНО . БУДЬТЕ ЛЮДЬМИ ПОМОГИТЕ ПОЖАЛУЙСТА !1!1
Приложения:
                    
                            
                            
                            Ответы
                                            Ответ дал: 
                                                                                    
                                        
                                            
                                                
                                                
                                                
                                                    1
                                                
                                            
                                        
                                    
                                            Ответ дал: 
                                                                                    
                                        
                                            
                                                
                                                
                                                
                                                    0
                                                
                                            
                                        
                                    Ответ:
Объяснение:
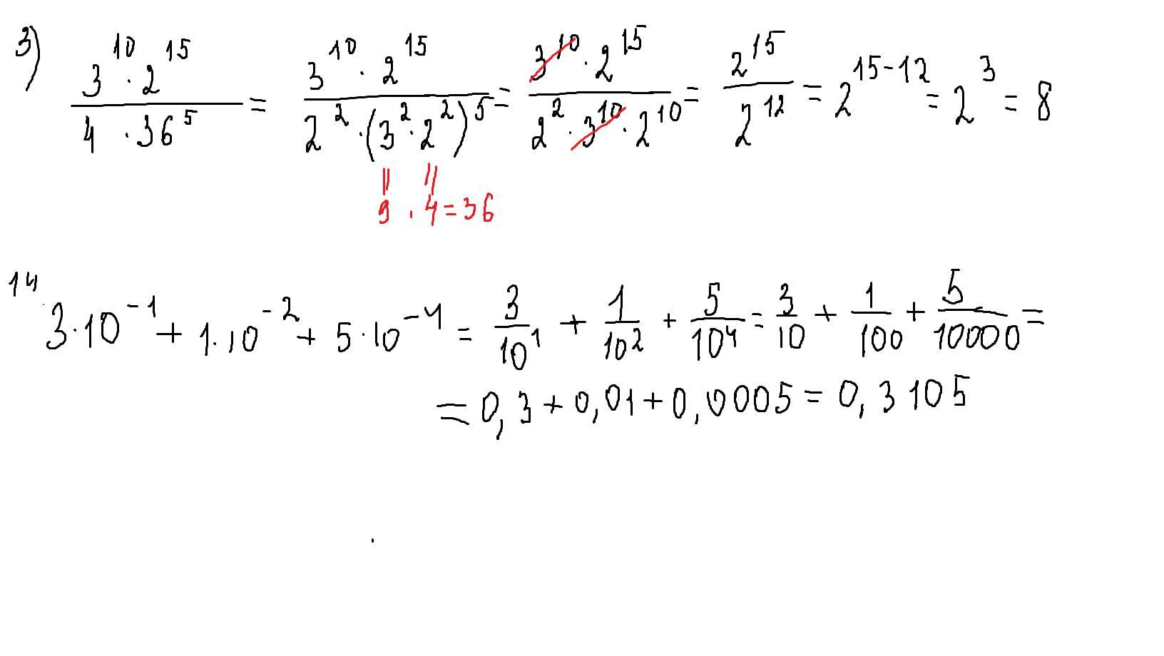
третий и первый решение внизу
Приложения:
                    
                            Вас заинтересует
                
                        1 год назад
                    
                
                        1 год назад
                    
                
                        1 год назад
                    
                
                        3 года назад
                    
                
                        3 года назад