• Предмет: Алгебра
  • Автор: trashcanmail
  • Вопрос задан 2 года назад

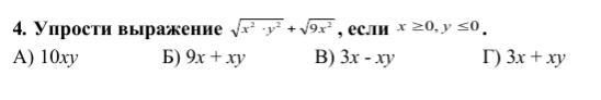
Помогите уравнить, с подробным описанием

Приложения:

Ответы

Ответ дал: Аноним
1

Ответ: во вложении Объяснение:

Модуль положительного числа х есть само это число х, а отрицательного  у,  это число противоположное у, т.е. -у

Приложения:

trashcanmail: thx
trashcanmail: Не "Г"? В ответе-же "+", или знак меняется?
Аноним: нет. не Г, в ответе минус ху+3х, с той лишь разницей. что их поменяли местами. но знаки оставили. присмотритесь. у меня и у В) ответы одинаковы.
Вас заинтересует