Ответы
Ответ дал:
1
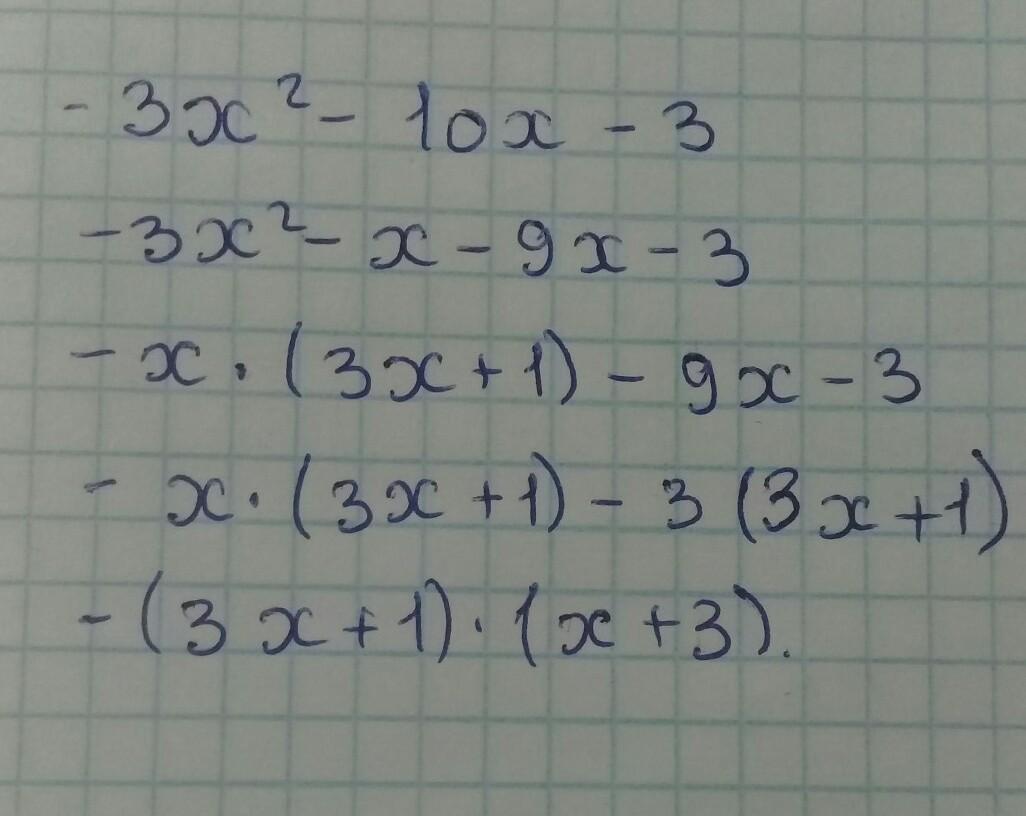
-(3x+1)×(x+3)
Объяснение:
ответ это
Приложения:

Niko2Laev:
Объяснение можно?
Вас заинтересует
1 год назад
1 год назад
1 год назад
3 года назад
3 года назад
8 лет назад