• Предмет: Алгебра
  • Автор: natashabocharn
  • Вопрос задан 2 года назад

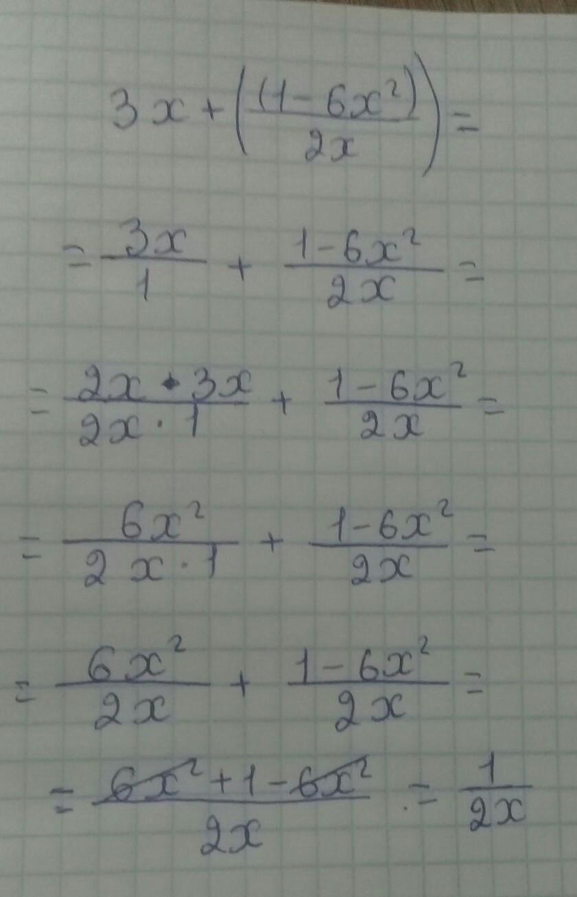
3x +((1-6x^ 2 )/2x) выполните сложение

Ответы

Ответ дал: ismayilovakunduzhan
1

Ответ:

1/2x

Объяснение:

Я думаю этот ответ правильно

Приложения:

natashabocharn: как вы вышли на выражение (2x*3x)/2x*1
Вас заинтересует