• Предмет: Алгебра
  • Автор: popuguymarii3
  • Вопрос задан 2 года назад

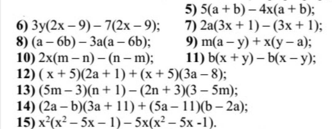
Нужно вынести общий множитель за скобки
Даю 35 баллов

Приложения:

Ответы

Ответ дал: sonia2907
1

Відповідь:

Пояснення:

Приложения:
Вас заинтересует