• Предмет: Математика
  • Автор: vlada200094
  • Вопрос задан 2 года назад

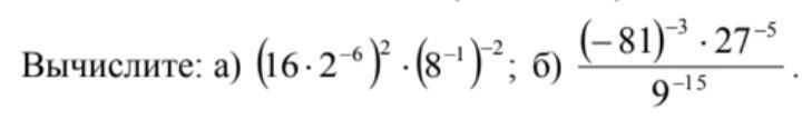
Решите подробно
Срочно! ​

Приложения:

Ответы

Ответ дал: andrewnaida2019
1

Ответ:

Пошаговое объяснение:

а)(16*2^-6)^2*(8^-1)^-2=(16*2^-6)^2*8^2=((16*2^-6)*8)^2=((2^4*2^-6)*2^3)^2=(2^-2*2^3)^2=2^2=4

б)((-81)^-3*27^-5)/9^-15=(-81^-3*3^-15)/3^-30=-81^-3*3^15=-3^-12*3^15=-3^3=-27

Вас заинтересует