ПОМОГИИТЕЕЕЕ УМОЛЯЯЯЯЯЯЮЮ ВААСС МЕГААА СРОЧНООО МОЛЮ.ЮЮ ВАССС ПОМОГМИТТЕЕ!!!!!!!!!!!!!!!!
Приложения:

Ответы
Ответ дал:
0
Ответ:
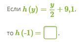
h(-1) = 8.6 ..........
den0957263233635:
качай приложение My script calculator Там ты можешь рисовать такие уравнение и приложение будет решать
Вас заинтересует
1 год назад
1 год назад
3 года назад
8 лет назад