• Предмет: Алгебра
  • Автор: Кнопка56
  • Вопрос задан 11 лет назад

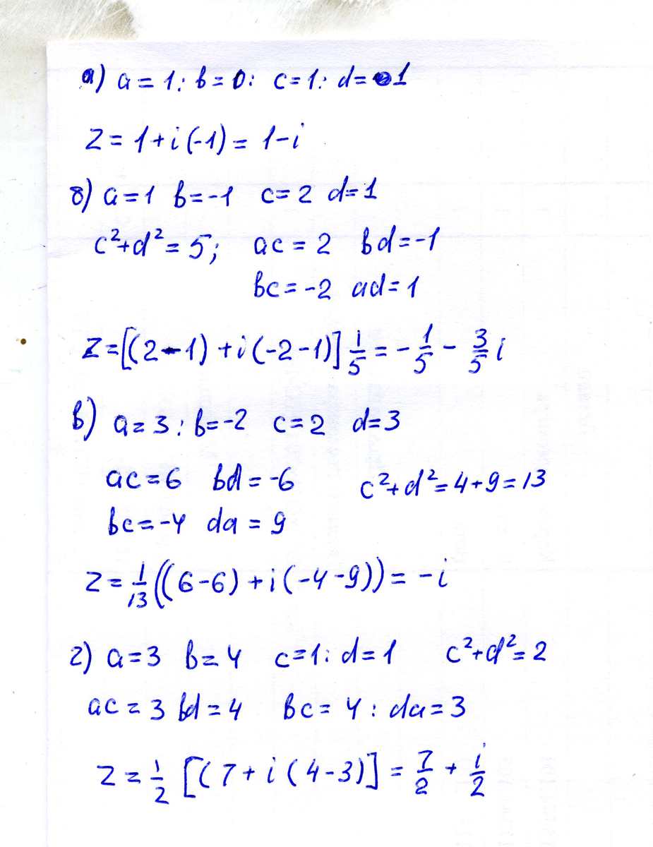
Найдите комплексное число z такое, что 

а). z (1+i) = 1

б) z (2+i)  = 1-i

в) z (2+3i) = 3-2i

г) z(1+i)  = 3+4i

 

 

 

 

 

 

 

 

Ответы

Ответ дал: rskopov
0
                                                Решение:


Смотри вложение:...


Приложения:
Вас заинтересует