• Предмет: Алгебра
  • Автор: lizaklein69
  • Вопрос задан 2 года назад

ПОМОГИТЕ, СРОЧНО!!!!!​

Приложения:

Ответы

Ответ дал: lakOR555
1

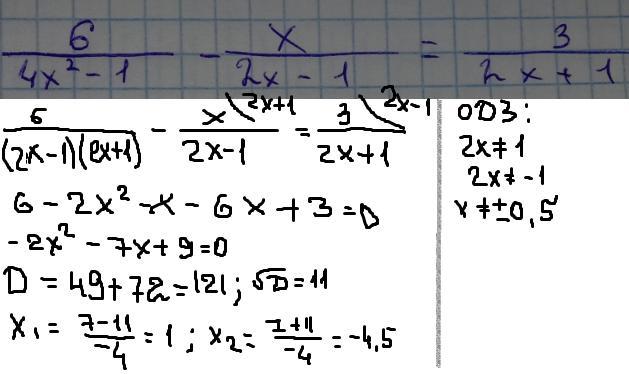
Ответ:

см фото

Объяснение:

Приложения:
Вас заинтересует