• Предмет: Алгебра
  • Автор: Kostyakuznecov
  • Вопрос задан 2 года назад

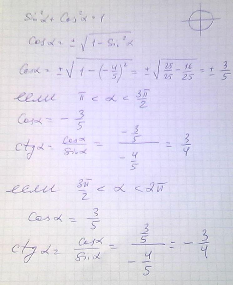
Найдите сtgα, если sinα = -4/5 ,П даю 70 баллов


Аноним: какие значения имеет угол а ?
Аноним: п<α<3п/2 или 3п/2<α<2п
Аноним: 3п/2
Аноним: .....
Аноним: надо указать промекжуток
Аноним: хз лень считать
Аноним: в условии обычно указывают
Аноним: у тебя написано sinα = -4/5 , П
Аноним: , П ... ?
Kostyakuznecov: я писал промежуток но он не написался

Ответы

Ответ дал: Аноним
2

Ответ:

3/4

Объяснение:

Приложения:
Вас заинтересует