• Предмет: Геометрия
  • Автор: ilyaalekseevperchik
  • Вопрос задан 2 года назад

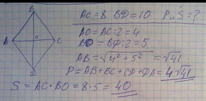
Найдите площадь ромба диагонали которого равны 10 и 5 см.​

Ответы

Ответ дал: nellipuchkina
3

Ответ:

короче списывай, но оставляй туда не такие цифры как там а какие тебе нужны например не 10 а 11

Приложения:
Вас заинтересует