• Предмет: Математика
  • Автор: ggg02251
  • Вопрос задан 2 года назад

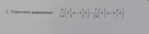
Упростите выражения,10 баллов​

Приложения:

Ответы

Ответ дал: zychkova09
0

Может быть так, но я не уверена

Приложения:
Вас заинтересует