• Предмет: Математика
  • Автор: difenz06a
  • Вопрос задан 2 года назад

пожалуйста дайте ответ

Приложения:

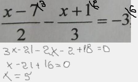
miki68: х=5

Ответы

Ответ дал: lakOR555
0

Ответ:

см фото

Пошаговое объяснение:

Приложения:
Вас заинтересует