• Предмет: Алгебра
  • Автор: PashaBiseps
  • Вопрос задан 2 года назад

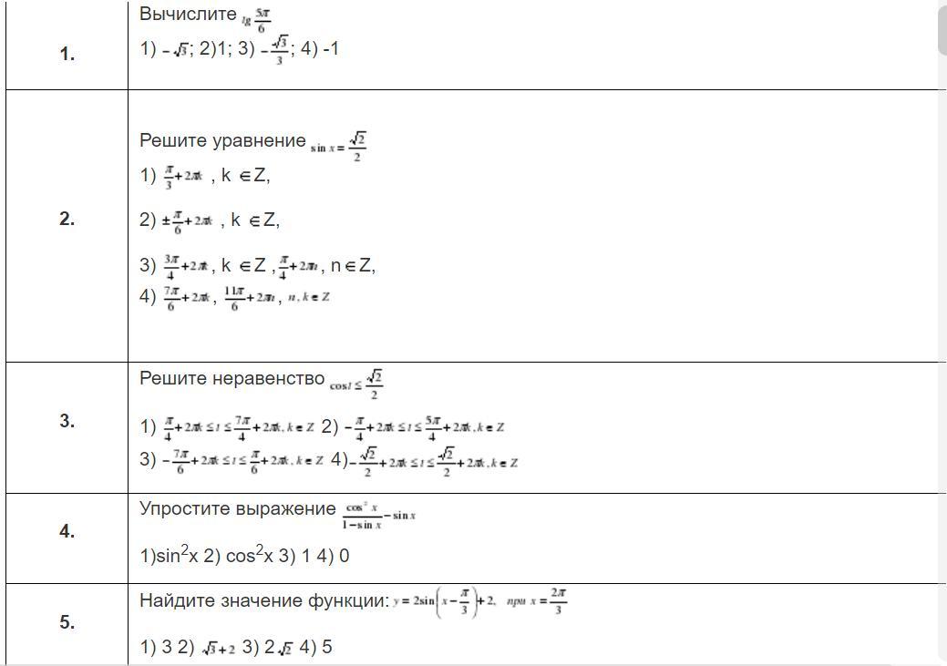
Срочно нужна помощь с алгеброй. Решите пожалуйста.

Приложения:

Ответы

Ответ дал: m11m
1

Ответ:

Объяснение:

!!!!!!!!!!!!!!!!!!!!!!!!!

Приложения:

PashaBiseps: Извини, можешь помочь со второй частью? Я создам вопрос, зайди через профиль.
PashaBiseps: https://znanija.com/task/33834420
Вас заинтересует