• Предмет: Алгебра
  • Автор: tokisamatokyo
  • Вопрос задан 2 года назад

Очень прошу помочь, не могу решить ​

Приложения:

Ответы

Ответ дал: threeada
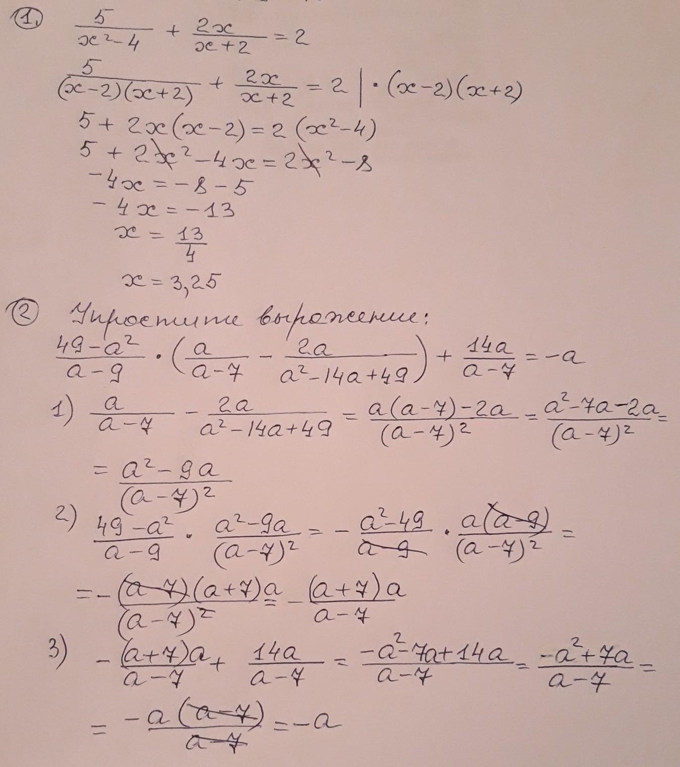
1

Ответ:

3.25

Объяснение:

 \frac{5}{ { x}^{2}  - 4}  +  \frac{2x}{x + 2}  =  \frac{5}{(x {}^{}  - 2)( {x}^{} + 2 )}  +  \frac{2x}{x + 2}  =  \frac{5 + 2x(x - 2)}{ {x}^{2} - 4 }  =  \frac{2 {x}^{2}  - 4x + 5}{ {x}^{2}  - 4}  = 2 \\ 2 {x}^{2}  - 4x + 5 = 2 {x}^{2}  - 8 \\ 4 x= 13 \\ x = 3.25


tokisamatokyo: а что во втором действии и откудо оно взялось?
Ответ дал: sharofat0
1

Ответ:

Рациональные дроби.

Ответ во вложении.

Приложения:
Вас заинтересует