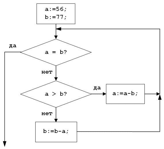
1)Определите значения переменной «a» после выполнения фрагмента алгоритма.
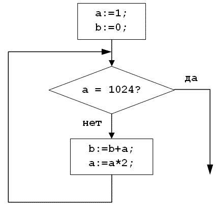
2)Определите значение переменной «b» после выполнения фрагмента алгоритма.
Приложения:


Ответы
Ответ дал:
4
Ответ:
Первое)7
Второе)1023
Вас заинтересует
1 год назад
1 год назад
1 год назад
1 год назад
8 лет назад
8 лет назад