• Предмет: Алгебра
  • Автор: crazymans
  • Вопрос задан 2 года назад

Помогите срочно! Если не решу капец мне.

Приложения:

Ответы

Ответ дал: Dedagenn
1

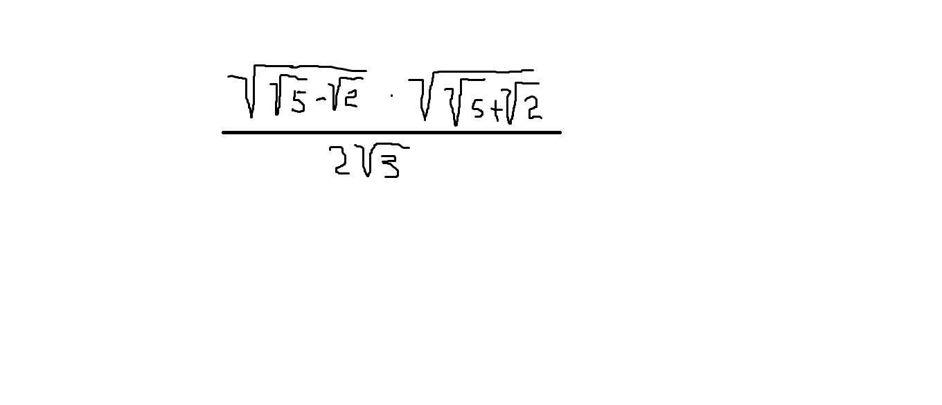
=√[(√5-√2)(√5+√2)] /2√3=√[(5-2)] /2√3=1/2

Ответ дал: Vopoxov
0

Ответ:

 =  \frac{1}{2}

Объяснение:

  \frac{\sqrt{ \sqrt{5} -  \sqrt{2} }  \times  \sqrt{ \sqrt{5} +  \sqrt{2}  }} {2 \sqrt{3} } =  \\   \frac{\sqrt{( \sqrt{5} -  \sqrt{2} ) \times ( \sqrt{5} +  \sqrt{2}  )}} {2 \sqrt{3} } =  \\   \frac{\sqrt{( \sqrt{5}) {}^{2}  -  (\sqrt{2} ) {}^{2} }} {2 \sqrt{3} } =  \\  =  \frac{ \sqrt{(5 - 2)} }{2 \sqrt{3} }  =  \frac{ \sqrt{3} }{2 \sqrt{3} }  =  \frac{ 1 \times  \sout{  \sqrt{3} }}{2  \times  \sout{\sqrt{3} }}  =  \\  =  \frac{1}{2}


Vopoxov: :).
Вас заинтересует