решите неравенство
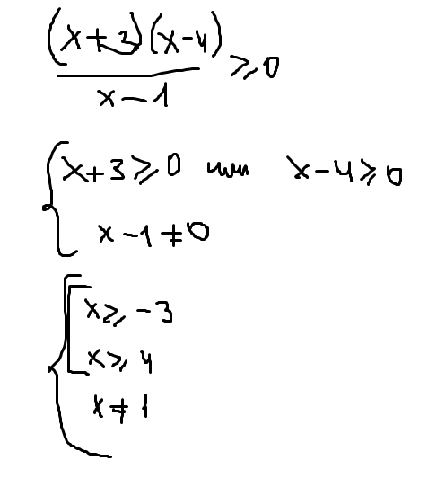
А)(х+3)(х-4)/х-1 больше либо равно 0
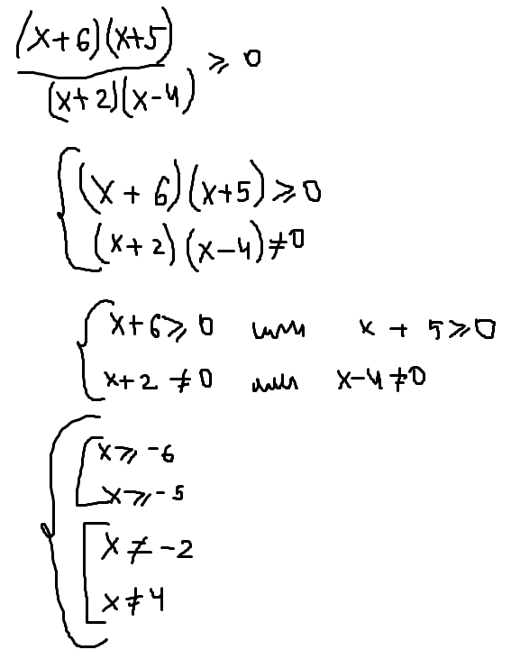
Б)(х+6)(х-5)/(х+2)(х-4) больше либо равно 0
Ответы
Ответ дал:
0
а) промежуток от 4(включая) до плюс бесконечности не включая 1
б) промежуток от -5(включая) до плюс бесконечности не включая -2 и 4
б) промежуток от -5(включая) до плюс бесконечности не включая -2 и 4
Приложения:
Ответ дал:
0
спасибо :)
Вас заинтересует
3 года назад
3 года назад
8 лет назад
8 лет назад
11 лет назад
11 лет назад
11 лет назад