• Предмет: Математика
  • Автор: TemaMyr
  • Вопрос задан 2 года назад

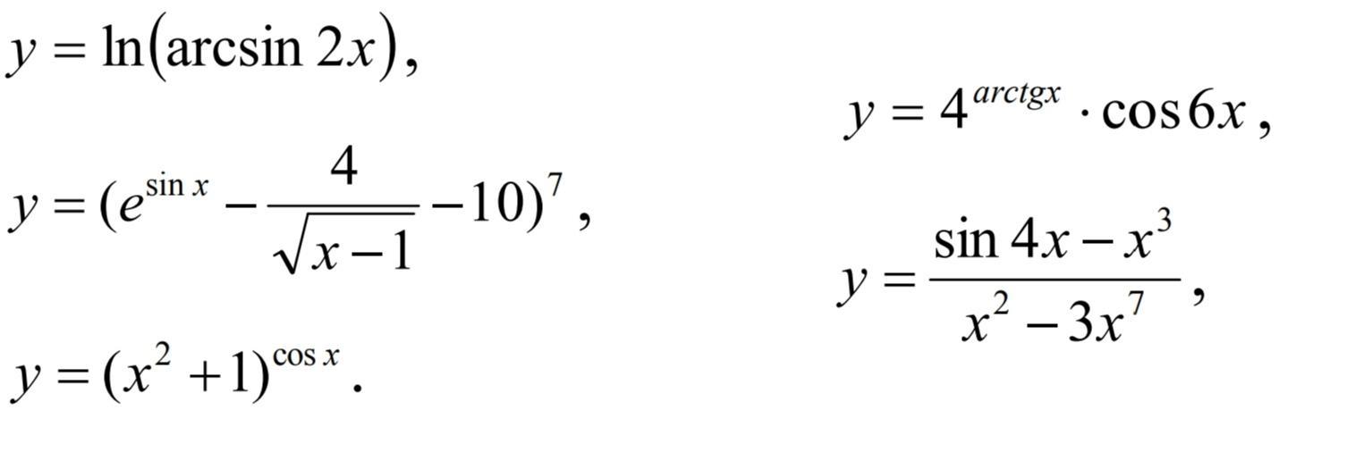
продифференцировать указанные функции

Приложения:

Ответы

Ответ дал: natalyabryukhova
0

Ответ:

=========================

Пошаговое объяснение:

Приложения:
Вас заинтересует