• Предмет: Математика
  • Автор: kateshchedrina
  • Вопрос задан 2 года назад

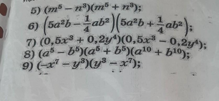
помогите!!!!!! алгебра 7 класс ​

Приложения:

Ответы

Ответ дал: nikold535
1

Ответ:

5)m^10-n^6

6)25a^4b^2-1/16a^2b^4

7)0,25x^6-0,04y^8

8)(a^10-b^10)(a^10-a^10)=a^20-2a^10b^10+b^20

9)(-x^7-y^3)(y^3-x^7)=(-x^7-y^3)(-x^7+y^3) =x^14-y^6

Пошаговое объяснение:

^-это означает степень

Вас заинтересует