• Предмет: Математика
  • Автор: podobaevaasa29460
  • Вопрос задан 2 года назад

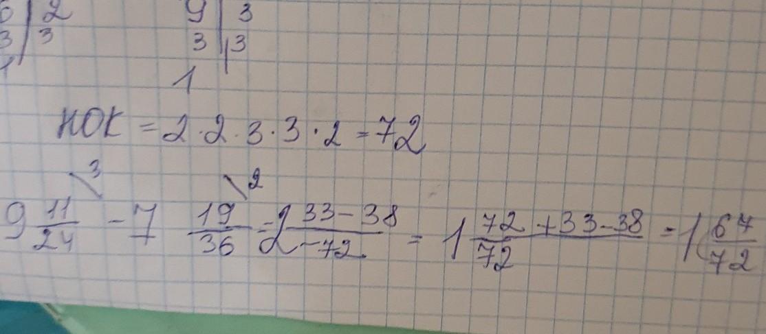
9 11/24-7 19/36. У меня получилось (9-7) +11*3 а общий знаменатель 72 но не понимаю почему где 19 там потом должно быть 38

Ответы

Ответ дал: kirzaviisapog
1

Ответ:

9 11/24-7 19/36=227/24-271/36=(681-542)/72=139/72=1 67/72


podobaevaasa29460: А почему 227?
kirzaviisapog: перевод смешаной дроби в неправильную 9*24+11=227/24
Ответ дал: liliya5662
0

Ответ:

на фото расписано оешение

Приложения:

podobaevaasa29460: Ну хорошо это вы 36 разложили а 24
Вас заинтересует