• Предмет: Химия
  • Автор: kara0405
  • Вопрос задан 2 года назад

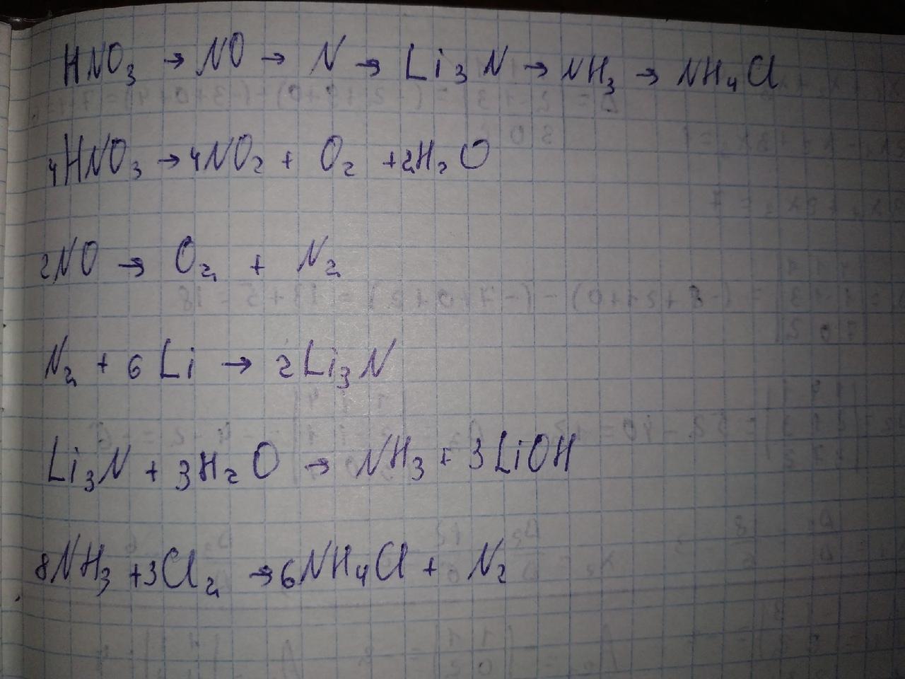
Осуществить превращения по схеме: Соль аммония←Аммиак←Нитрид Лития ←Азот → Оксид азота (II)←Азотная кислота

Спасибо.

Ответы

Ответ дал: danilsavchuk73
12

Ответ смотреть на фотографии

Приложения:
Вас заинтересует