• Предмет: Математика
  • Автор: Aldiyar212
  • Вопрос задан 2 года назад

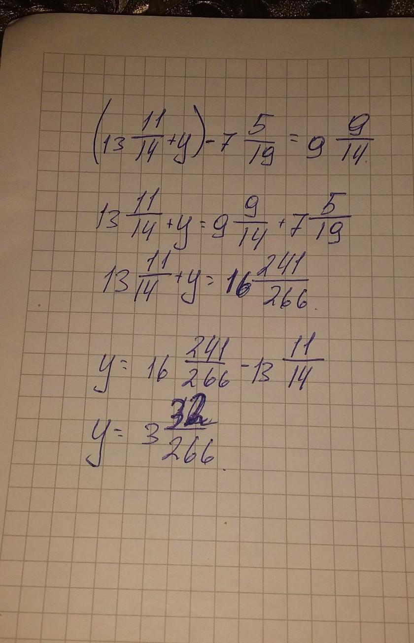
(13целых 11/14 +y) - 7 целых 5/19=9целых 9/14 решите пожалуйста


tatsach: 7 целых 5/19 здесь точно знаменатель 19? может 14
Aldiyar212: Ой сори 14 мой прокол
tatsach: создайте новый вопрос, т.к. надо решать как уже написано
Aldiyar212: Ок щас
orudzevtamerlaner: Что?
orudzevtamerlaner: братан на фото посмотри
orudzevtamerlaner: я тас решал

Ответы

Ответ дал: orudzevtamerlaner
0

Ответ:

Короче вот,тебе там нужно будет сократить

Приложения:

Aldiyar212: Спс
Ответ дал: danilkurkin2007
0

Ответ:

3 целых 16/133

Пошаговое объяснение:

13 целых 11/14+у= 9 целых 9/14 +7 целых 5/19

13 целых 11/14+у= 16 целых 241/266

у= 16 целых 241/266- 13 целых 11/14

у=3 целых 16/133

Вас заинтересует