• Предмет: Физика
  • Автор: sonaabdulova2167
  • Вопрос задан 2 года назад

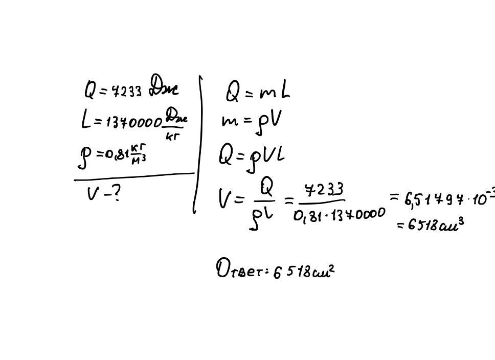
Посчитай объём аммиака, если в процессе его кипения поглотилось 7233 Дж энергии?
(Удельная теплота парообразования аммиака L=1370000 Дж/кг, плотность аммиака ρ=0,81  кг/м³).
  
  
Ответ (округли до целого числа):  см³.


sonaabdulova2167: Добавлю в лучший ответ

Ответы

Ответ дал: bergalium
13
6518......................
Приложения:

sonaabdulova2167: Это уже округлённый ответ?
bergalium: да
Вас заинтересует