Ответы
Ответ дал:
1
Ответ:
2) 70 10 5
__ = __= __
84 12 6 сначала победила на 7, затем на 2
70 10 5
__= __= __
112 16 8 сначала победила на 7, затем на 2
sutovahalida7:
постаралась
Ответ дал:
0
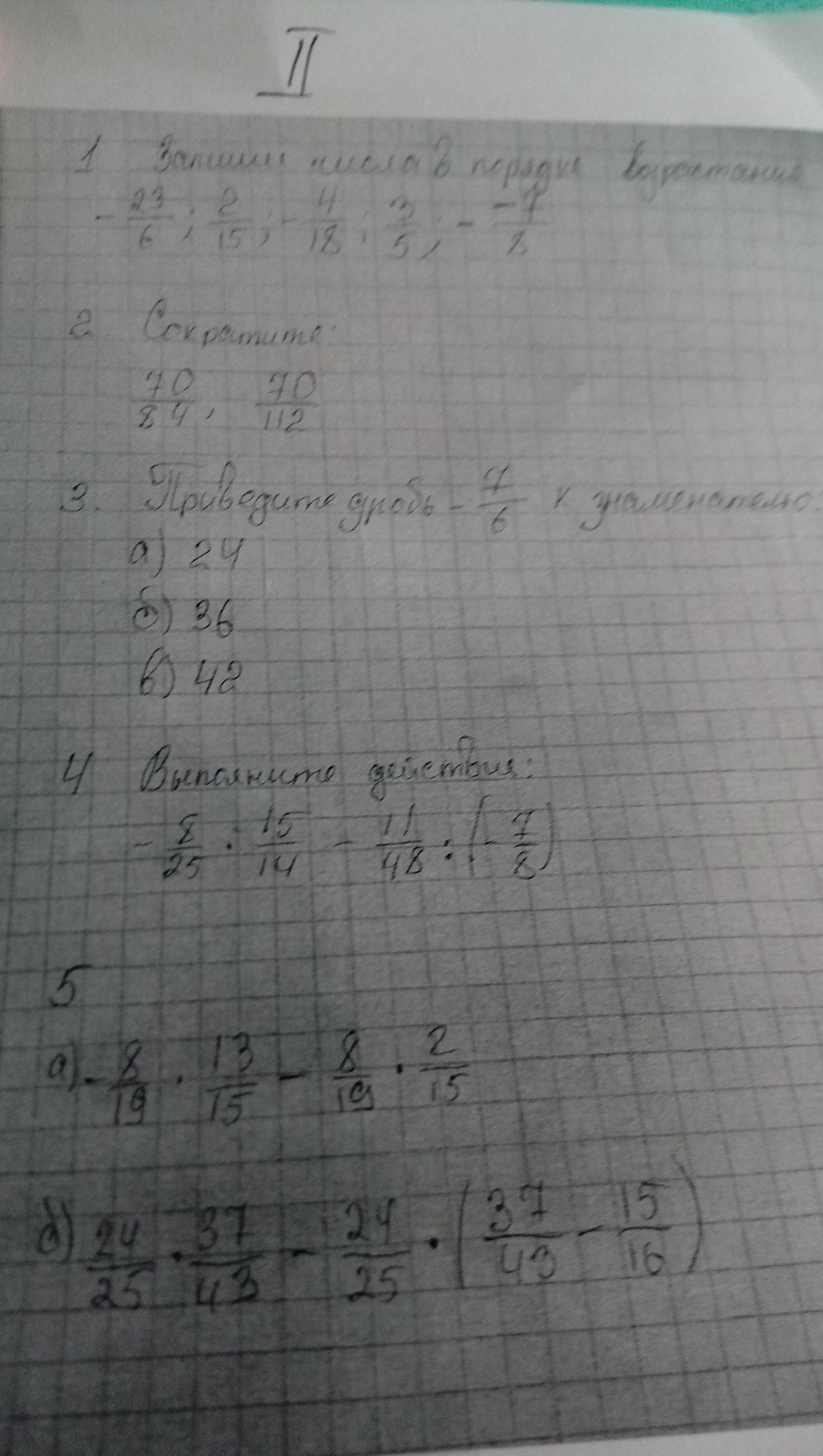
1. -4/8 ; - 23/6 ; 2/15 ; 3/5 ; - -7/8
2. 70/84 = 5/6
70/112 = 5/8
3. а) -28/24
б) -42/36
в) -49/42
4. -193/ 5250
5. а) -8/19
б) 9/10
2. 70/84 = 5/6
70/112 = 5/8
3. а) -28/24
б) -42/36
в) -49/42
4. -193/ 5250
5. а) -8/19
б) 9/10
Вас заинтересует
2 года назад
2 года назад
2 года назад
2 года назад
3 года назад
3 года назад
9 лет назад
9 лет назад