Ответы
Ответ дал:
1
Первая программа:
Вторая программа:
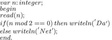
Третья программа:
Все коды программ доступны также в качестве фото.
Приложения:




MrSolution:
Т.к. формулы почему-то не загружаются, я скинул фото кода. Обновите страницу.
Вас заинтересует
1 год назад
1 год назад
3 года назад
3 года назад
8 лет назад