• Предмет: Геометрия
  • Автор: StrangeTYPE
  • Вопрос задан 2 года назад

Ребята! ПОМОГИТЕ! срочно!


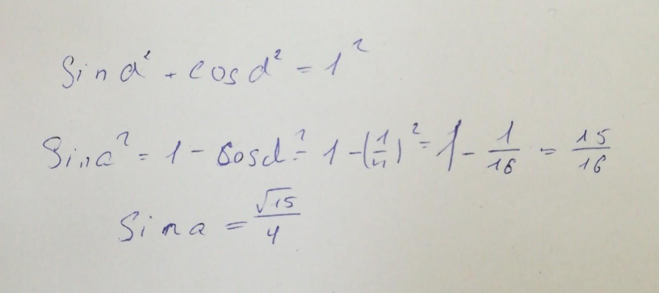
Найдите son a, если cos a=1/4

Приложения:

Ответы

Ответ дал: Sasha22eer
1

Ответ:

.......,.,,.........

Приложения:
Вас заинтересует