• Предмет: Алгебра
  • Автор: Mixcer
  • Вопрос задан 2 года назад

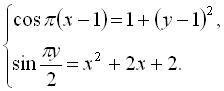
Розв’яжіть систему рівнянь

Приложения:

Ответы

Ответ дал: mmb1
1

задача решается за 10 секунд, если вспомнить ограничения тригонометрических функций

-1 ≤ sin x ≤ 1

-1 ≤ cos x ≤ 1

смотрим правые части уравнений в системе, а потом подставляем и проверяем

1 + (y - 1)² минимум при y=1 и равняется 1, при всех других значениях y выражение больше 1, а косинус ≤ 1

x² + 2x + 2 = (x + 1)² + 1 минимум при x = -1 при всех остальных значениях x выражение больше 1, а синус ≤ 1

проверяем

y = 1

x = -1

cos π(-1 - 1) = 1

sin π*1/2 = 1

cos -2π = 1  да верно

sin π/2 = 1 верно

Ответ (-1,1)

 

Вас заинтересует