• Предмет: Математика
  • Автор: LEILACMAGULOVA
  • Вопрос задан 2 года назад

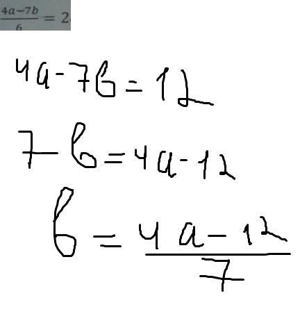
Выразите переменную b через переменную а в выражении плиз помогите даю 30 баллов​

Приложения:

Ответы

Ответ дал: matematikL
0

Ответ:

Пошаговое объяснение:

ВОТ И ВСЕ

Приложения:
Вас заинтересует