• Предмет: Алгебра
  • Автор: Аноним
  • Вопрос задан 2 года назад

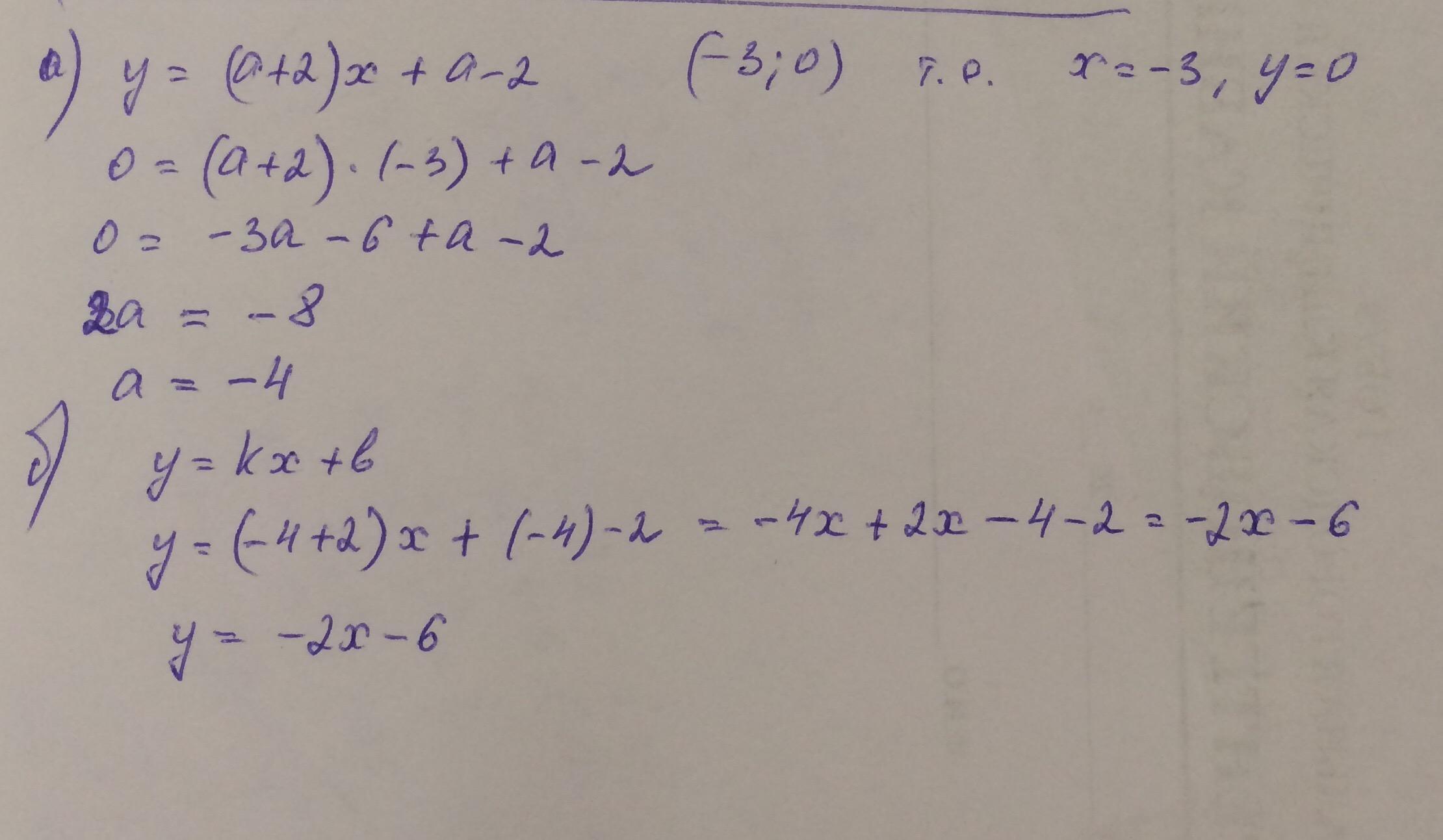
Завтро контрольная!!!!Решите пожалуйста!!!График функции заданной уравнением у=(а+2)х+а-2 пересекает ось абцисс в точке с координатами (-3;0)
а)найдите значение а;
б)запишите функцию в виде у=кх+b ​

Ответы

Ответ дал: tatnik12
5

Ответ: а=-4; у=-2х-6

Объяснение:

Приложения:

mironachkasov2007: А чертеж нужен? Если да начертишь пожалуйста? Молю!!
tatnik12: в задании не сказано, что надо построить график, график не нужен. Но если хочешь, то нарисую
Вас заинтересует