• Предмет: Математика
  • Автор: nikirsaegor
  • Вопрос задан 2 года назад

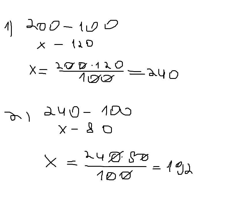
заробітна платня становила200грн.їїпідвіщили на 20%, а потім знизили на 20% .Якою стала заробітна платня.

Ответы

Ответ дал: vadim200766
0

ответ на задачу

192грн

Ответ дал: matematikL
1

Ответ:

Пошаговое объяснение:

ось і все

Приложения:
Вас заинтересует