• Предмет: Алгебра
  • Автор: 666Cerber666
  • Вопрос задан 2 года назад

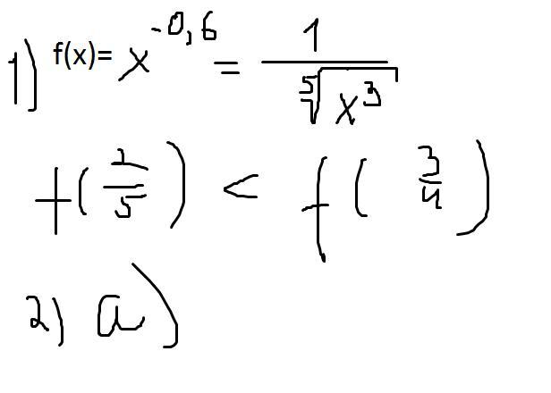
1) Відомо, що f(x)=x^{-0,6}. Порівняйте f(\frac{2}{5}) і f(\frac{3}{4})

2) Скільки коренів має рівняння x^{4,5}=4,5?

А)Один

Б)Два

В)Жодного

Г)Безліч

Ответы

Ответ дал: matematikL
1

Ответ:

Объяснение:

вот и все

Приложения:

666Cerber666: Большое спасибо!
Вас заинтересует