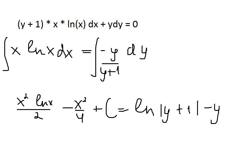
Найти общее решение дифференциального уравнения с разделяющимися переменными
(y + 1) * x * ln(x) dx + ydy = 0
Ответ выразить через y
Ответы
Ответ дал:
0
Ответ:
Пошаговое объяснение:
вот и все
Приложения:

Вас заинтересует
1 год назад
1 год назад
1 год назад
3 года назад
8 лет назад