Ответы
Ответ дал:
1
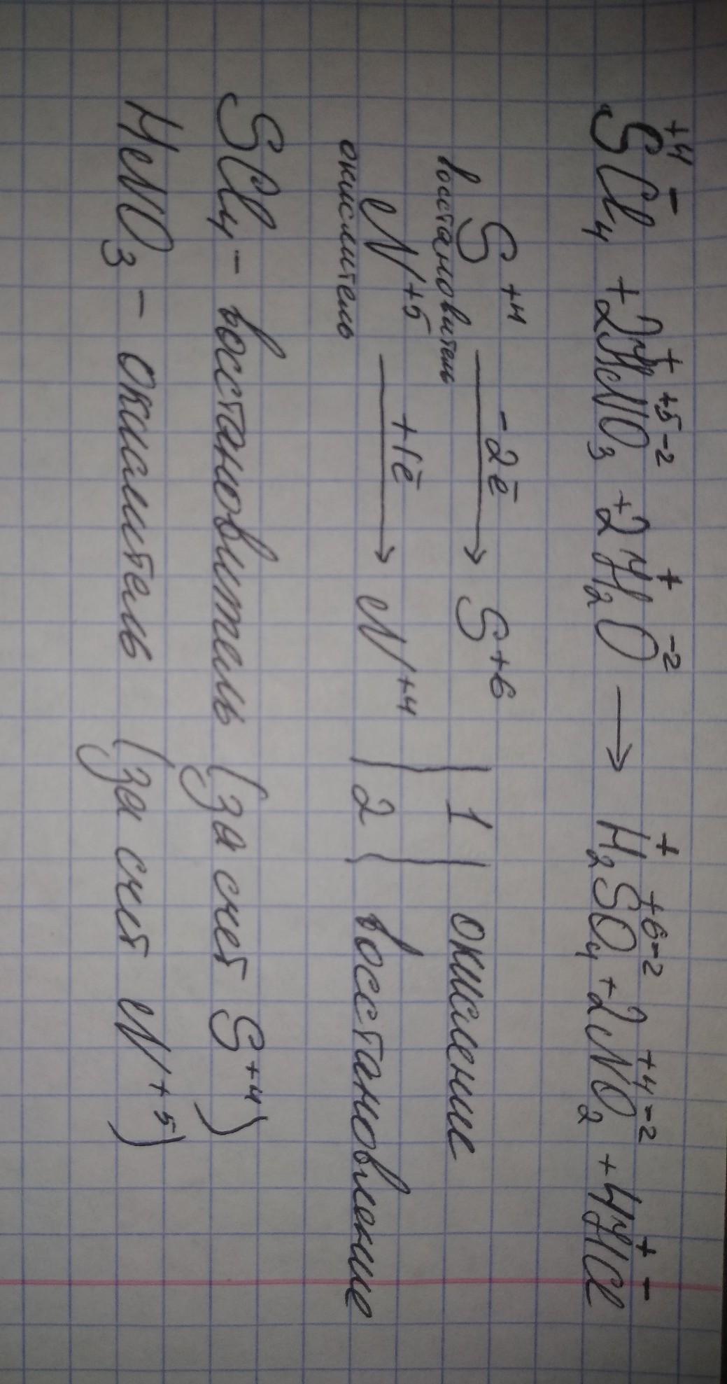
На картинке решение, и сам баланс
Приложения:

Аноним:
По химии
Вас заинтересует
1 год назад
1 год назад
1 год назад
1 год назад
3 года назад
3 года назад
8 лет назад