пожалуйста помогите пж с распиской тема деление обыкновенных дробей и смешанных чисел.
Приложения:

kamilka7539:
а какой пункт именно?
Ответы
Ответ дал:
0
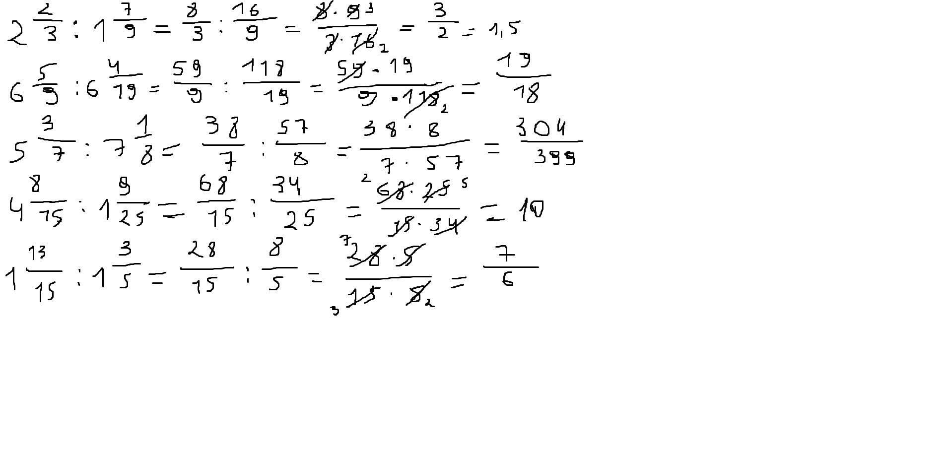
Ответ:
Пошаговое объяснение:
Приложения:

Вас заинтересует
1 год назад
1 год назад
1 год назад
1 год назад
3 года назад
3 года назад
8 лет назад