• Предмет: Алгебра
  • Автор: maskerova774
  • Вопрос задан 2 года назад

РЕШИТЕ ПОЖАЛУЙСТА Я ВАС УМОЛЯЮ!!!!!!!!​

Приложения:

Ответы

Ответ дал: bergalium
1

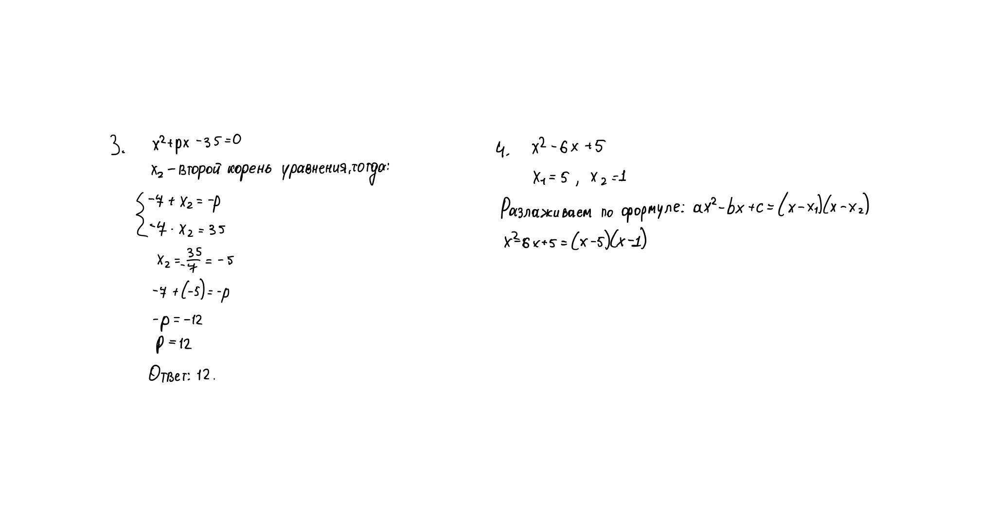
Ответ:ответ на картике

Объяснение:

....................

Приложения:
Ответ дал: deuce46
1

Ответ:

1. не знаю как точно решать, но я методом подбора.

Объяснение:

x2+2x-35=0

d = 4+4*1*35=144

x1=-2+12/2=5

x2=-2-12/2=-7

ответ : второй корень 5.

2. x(x-1)-5(x-1) =0

(x-1)(x-5)=0

x-1=0 x-5=0

x=1 x=5

ответ 1 и 5

Вас заинтересует