• Предмет: Алгебра
  • Автор: Аноним
  • Вопрос задан 2 года назад

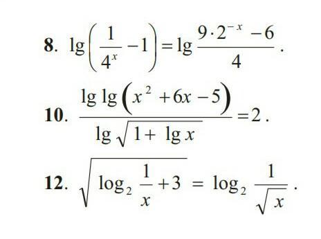
90 баллов, 3 уравнения с логорифмами, с полным решением пожалуйста!​

Приложения:

Аноним: если будет возможность, решите ещё мои вопросы

Ответы

Ответ дал: Аноним
2

Ответ:

Объяснение:

-----------------------------------------

Приложения:

Аноним: большое спасибо!
xERISx: Решения проверены, ответы верные. В 10 номере есть опечатка, которая никак не влияет на отличное решение. В проверке в знаменателе потерян знак логарифма : вместо ...1/2*(1+lg5)... должно быть ...1/2*lg(1+lg5)...
Вас заинтересует