Ответы
Ответ дал:
0
Ответ:
Объяснение:
вот и все
Приложения:

axaxalox:
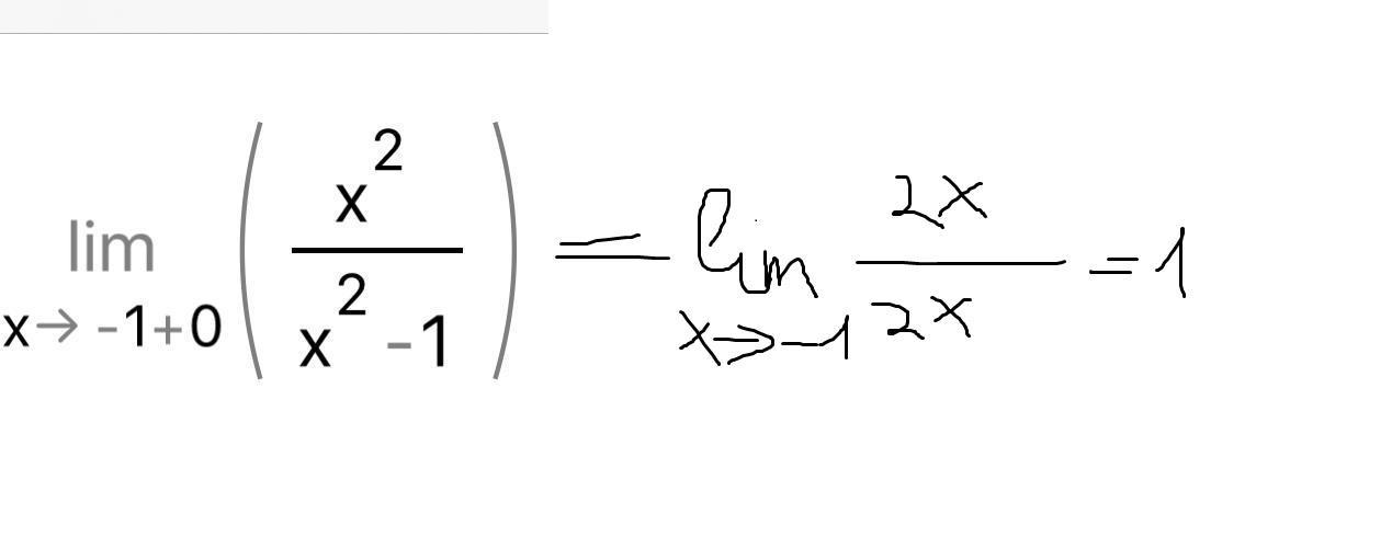
тут нельзя применять Лопиталя; Предел должен иметь вид 0/0 или infinity/infinity
Вас заинтересует
1 год назад
1 год назад
1 год назад
3 года назад
3 года назад
8 лет назад