Ответы
Ответ дал:
1
Ответ:
Пошаговое объяснение:
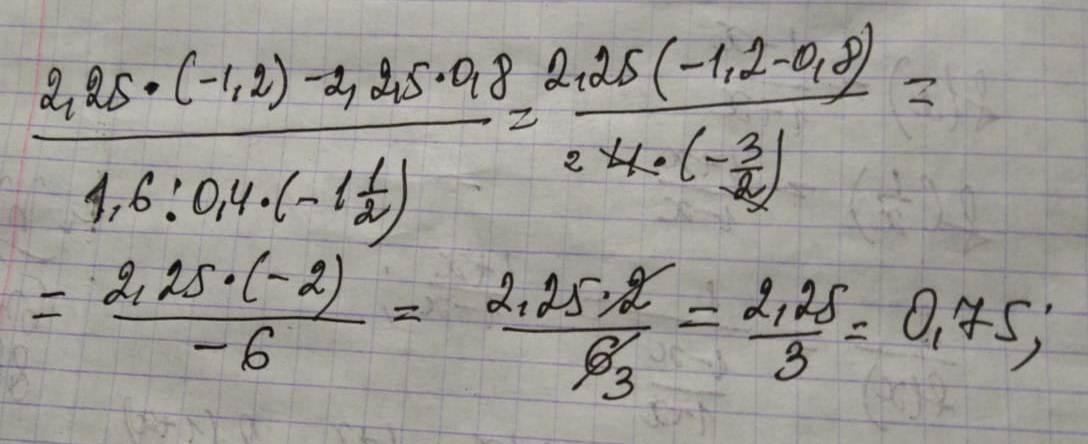
1) 2,25*(-1,2-0,8)=2,25*(-2)=-4,5
2) 1,6:0,4=4
3) 4*(-1 1/2)=4*(-3/2)=-6
4) - 4,5:(-6)=0,75
Ответ дал:
1
Ответ: 0,75
Пошаговое объяснение:
Приложения:

Вас заинтересует
1 год назад
1 год назад
1 год назад
1 год назад
3 года назад
8 лет назад