• Предмет: Алгебра
  • Автор: AnimeLolkek
  • Вопрос задан 2 года назад

!!!! срочно даю 15 балов
Разложите на множители левую часть уравнения и решите уравнение

Приложения:

Ответы

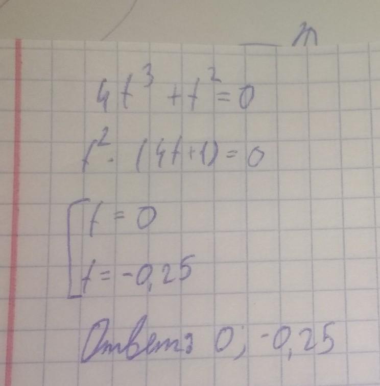
Ответ дал: artyom1417425063shav
1

Объяснение:

держи,на здоровье,надо написать что-то на 20 слов

Приложения:

Аноним: сенкю вери мач
Ответ дал: tatnik12
0

Ответ:

Объяснение:

Выносим общий множитель за скобку.

Один из множителей равен 0.

Приложения:
Вас заинтересует