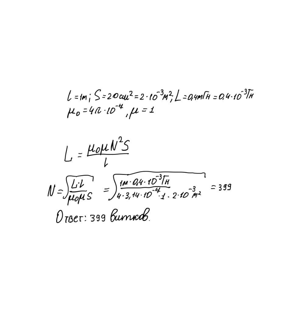
Найти число витков соленоида, если его индуктивность при длине 1 м и площади поперечного сечения 20 см2 равна 0,4 мГн
Ответы
Ответ дал:
1
399 витков...........
Приложения:

Вас заинтересует
1 год назад
3 года назад
3 года назад